♥
AzTruyen.Top
- Trang đọc truyện hoàn toàn miễn phí!
Home
/
Truyện Teen
/
công thức tính nguyên hàm tích phân
/
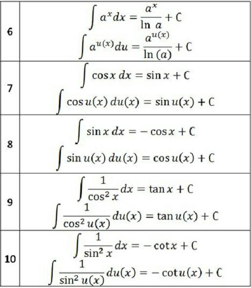
Công thức nguyên hàm tích phân thường gặp
Công thức nguyên hàm tích phân thường gặp
Trước
Sau
Màu nền
Trắng
Xanh nhạt
Xám nhạt
Vàng nhạt
Màu sepia
Vàng đậm
Vàng ố
Màu đen
Font chữ
Arial
Open Sans
Time News Roman
Sans Serif
Palatino Linotype
Font size
16
18
20
22
24
26
28
30
32
34
36
38
40
Chiều cao dòng
140%
160%
180%
200%
220%
240%
Bạn đang đọc truyện trên:
AzTruyen.Top
Trước
Sau
Tags: